Количество простых чисел на интервалах.
Решение столетних проблем теории чисел
суббота, 21 января 2012 г.
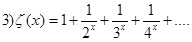
Сравнить ряды
Сравнить ряды
Сумма первого ряда численно равна среднему пробелу между составными числами на интервале
Сумма второго ряда численно равна среднему пробелу между простыми числами на интервале
Комментариев нет:
Отправить комментарий
Следующее
Предыдущее
Главная страница
Подписаться на:
Комментарии к сообщению (Atom)
Комментариев нет:
Отправить комментарий