Актуальная бесконечность (определение).
Актуальная бесконечность, это некое целое число, (k) которое обладает следующими свойствами,
Число (k), растёт по величине. До каких значений неопределимо. Но есть предел роста этому числу, хотя и этот предел, как некое конкретное число, неопределим.
Эти три условия обозначают актуальную бесконечность.
Последнее условие определяет само существование актуальной бесконечности.
Например:
Актуальная бесконечность, это целое число (k) при котором, при любом (n)
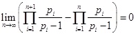
Что бы доказать, есть предел роста числа (k)
Достаточно доказать
Это доказали на форуме (dxdy), но не ответили на вопрос о правомерности сравнения формул.
Определение
противоречит теории множеств. Так же противоречит и теории гросс единицы, да и просто противоречит определению бесконечности как, бесконечному количеству элементов.
И говорить о мощности множества в нашем случае не приходится, это не количество элементов. Это предел роста величины числа (k). И этот предел неопределим. Хотя он и существует.
Что даёт нового, такое определение актуальной бесконечности?
Не оконченная дискуссия на пятой странице, будет иметь следующее продолжение:
Это равенство неверно, потому что стремление к бесконечности и достижение бесконечности, это не одно и то же.
Эти два знака не тождественны.
А вот новое равенство, где число (k) представляет собой актуальную бесконечность, верно:
Отсюда следует
что означает, что с номера простого числа (k). После простого числа (p_k), нет простых чисел. Не в том смысле, конечно, что их вообще нет, нет их количество бесконечно. После номера (k) пробел между простыми числами равен бесконечности, числу (k).
Напомню. Число (k) растёт по величине. Но есть предел роста этому числу. И этот предел, как некое конкретное число, неопределим. Хотя он и существует.
И всё-таки я прав, как бы и кто бы, не стремился к бесконечности всегда
Сергей Ситников








Комментариев нет:
Отправить комментарий